振動設備
13633733996
產品用途和適用范圍:
振動電機是動力源與振動源合為一體的機振源,其激振力可能無級調節,使用很方便。YZS系列振動電機為通用型振動電機。
振動電機廣泛應用于各種振動機械,如:振動破碎機、振動篩分機、振動打包機、振動落砂機、振動造型機、振劫打樁等、振動提升機、振動充填機、料倉的振動破拱防塞裝置等。廣泛地應用在水電建設、火電發電、建筑、建材、化工、采礦、煤炭、冶金、輕工等工業部門。




主要適用范圍:
l、本機振動加速度低于20
2、使用環境溫度不高于40℃(如果設備環境溫度高于~40℃應降低功率使用)。
3、主機激振功率值應不超過銘牌的規定,否則,則應降低激振力使用。
4、連續載荷,長期運轉。
5、使用地區海拔不超過1000米,如超過1000米,但不超過4000米時。每增高l00米,額定溫度限值應降低0.5℃。
三、主要結構及工作原理
1、工作原理:
(1)本產品由特殊設計的電機外加偏心塊組成,當電機旋轉時,偏心塊產生激振力通過電機傳遞給振動機械。
(2)本產品軸兩端各裝有兩塊扇形偏心塊,調節兩端偏心塊夾角大小,可以改變激振力大小。
(3)激振力:Fm=·r·ω2
G:偏心塊質量
g:重力加速度
r:偏心塊質心與回轉軸心的距離
ω:電機旋轉角頻率
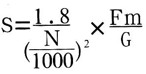
振幅:

Fm:激振力(N)
G:參振重量
N:轉速
S:雙振幅(mm)
2、吊運、安裝與調試
l、吊運時在機殼吊環螺釘處懸吊。
2、振動電機與振動機械連接平面均為3.2。
3、激振力的調整。
(1)拆除防護罩。
(2)旋松外側偏心塊夾緊螺栓。
(3)兩側偏心塊應同方向轉動,使軸上刻線對準偏心塊上激振力示值刻線至需要的激振力值處。
(4)旋緊偏心塊螺栓及安裝防護罩。
3、操作與使用
(1)本機應可靠牢固地安裝在振動機械上。
(2)本機安裝就位后,在機體及基礎上,均要有電纜壓緊裝置,二者之間電纜呈自然懸吊狀,總長度以300~500mm為宜,自然懸垂部彎弧半徑應在700~750mm之間。
(3)本機通過以50HZ交流電,電機即可旋轉,但應觀察轉向是否與要求相符,否則應調改相序改變轉向。直線振動設備兩臺振動電機旋轉方向應相反。
(4)本機安裝后,累積運轉100小時內為初運轉期。在初運轉期內,每班應對底腳螺栓增緊一次。
(5)本機電控系統應有可靠的保護裝置。
(6)嚴禁載荷移動。
四、維修保養與存放:
1、振動電機在運轉中如發現有異常響聲時,應立即停機檢查排除故障后方可再啟動運轉。
2、為保證振動電機的正常運轉,防止事故的發生,振動電機必須每隔兩個月檢修一次,檢查辦法:
應清除機內積塵、污垢、清潔線包并檢查線包絕緣電阻是否完好,軸承磨損情況,必要時更換軸承及新潤滑脂,接地、接頭、各緊固件及偏心塊是否有松動并及時排除。工作環境惡劣粉塵比較大的場所,必須每月清洗一次軸承并注入新潤滑脂。
3、本產品在每日運轉3小時以上,累計運轉500小時應更換軸承及潤滑脂,換油前應將軸承室及軸承端蓋清洗干凈,注入3#鋰基潤滑脂至軸承內外腔的l/4一l/5為宜。
(注:拆除防護罩即可看到加油孔)
4、本產品振動電機允許有軸向游隙0.3一lmm。
5、本產品的軸與軸承為動配合精度為H6/f5
6、振動電機不用時,必須存放在通風干燥的倉庫,庫內不應有腐蝕性氣體,對新儲存振動電機應定期檢查有無受潮、受凍、發銹及潤滑脂變質等情況。7、振動電機放置時間過長在重新使用前必須用500V搖表檢查組的絕緣電阻,在接近工作溫度(70℃)時,應不低于0.38兆歐。否則應進行烘干處理。
8、本產品因制造質量原因引起質量問題,我公司一年內負責三包。
公司產品廣銷全國多個省市地區,產品獲得廣大客戶好評
秉持“專一、專注”的精神,提供匠心產品,服務全球千萬用戶
實力雄厚 · 設備優良 · 質量保證 · 用戶至上 · 合作共贏
13633733996
掃一掃 關注我們